Concurso CPRM (Companhia de Pesquisa de Recursos Minerais) conta com níveis médio, técnico e superior, com iniciais de até R$ 10,5 mil

Foi publicado, no diário oficial da União desta terça-feira, 29 de julho, o edital de abertura de inscrições do concurso CPRM (Companhia de Pesquisas de Recursos Minerais) para o preenchimento de 115 vagas para os cargos de pesquisador, analista e técnicos em geociências em diversas áreas de atuação, com exigências de níveis médio, técnico e superior, com remunerações iniciais que variam de R$ 4.442,69 a R$ 10.557,48. Além disso, o concurso também serve para formar cadastro reserva de pessoal. O certame já conta com contrato assinado com a banca organizadora desde 15 de maio. As inscrições serão recebidas no período de 4 de agosto a 2 de setembro.
No concurso CPRM, para o cargo de técnico em geociências - assistente administrativo é exigido apenas ensino médio, enquanto para as demais áreas é exigido ensino médio técnico, com iniciais de R$ 4.442,68.
Para analistas em geociências e pesquisador em geociências é exigida formação em nível superior com iniciais, respectivamente, de R$ 8.990,93 e R$ 10.557,48
Para todos os cargos a jornada é de 40 horas semanais.
LEIA TAMBÉM
A lotação das vagas será nas seguintes localidades:
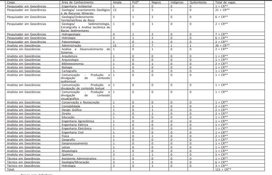
A distribuição de vagas por cargos e especialidades é a seguinte;

PESQUISADOR EM GEOCIÊNCIAS
Requisitos: Diploma, devidamente registrado, de conclusão de curso de graduação de nível superior em Engenharia Ambiental, fornecido por instituição de ensino superior reconhecida pelo MEC e registro no órgão de classe.
Requisitos: Diploma, devidamente registrado, de conclusão de curso de graduação de nível superior em Geologia ou em Engenharia Geológica, fornecido por instituição de ensino superior reconhecida pelo MEC, acrescido de registro no órgão de classe.
Requisitos: Diploma, devidamente registrado, de conclusão de curso de graduação de nível superior em Geologia ou em Engenharia Geológica, fornecido por instituição de ensino superior reconhecida pelo MEC, acrescido de registro no órgão de classe, e experiência mínima comprovada de um ano em trabalhos de ordenamento territorial e/ou geologia ambiental ou cartografia geotécnica, incluindo atuação em órgãos de Defesa Civil, em nível estadual e(ou) municipal, valendo experiência em estágios.
Requisitos: Diploma, devidamente registrado, de conclusão de curso de graduação de nível superior em Geologia ou em Engenharia Geológica, fornecido por instituição de ensino superior reconhecida pelo MEC, acrescido de registro no órgão de classe.
Requisitos: Diploma, devidamente registrado, de conclusão de curso de graduação de nível superior em Geologia ou Engenharia Geológica ou Engenharia de Minas, fornecido por instituição de ensino superior reconhecida pelo MEC.
Requisitos: Diploma, devidamente registrado, de conclusão de curso de graduação de nível superior em Engenharia, fornecido por instituição de ensino superior reconhecida pelo Ministério da Educação (MEC), e registro no órgão de classe. Para os cursos de Engenharia Civil, Ambiental ou Hídrica exige-se ter cursado a disciplina de Hidrologia no curso de graduação, comprovado pela apresentação do histórico escolar do curso de graduação, e, para os demais cursos de Engenharia, exige-se, mestrado em Recursos Hídricos.
Requisitos: Diploma, devidamente registrado, de conclusão de curso de graduação de nível superior em Geologia ou Ciências Biológicas, fornecido por instituição de ensino superior reconhecida pelo MEC, acrescido do título de Mestrado ou Doutorado em Paleontologia ou em áreas estritamente correlatas, e registro no órgão de classe.
ANALISTA EM GEOCIÊNCIAS
Requisitos: Diploma, devidamente registrado, de conclusão de curso de graduação de nível superior em Administração, fornecido por instituição de ensino superior reconhecida pelo MEC, e registro no órgão de classe.
Requisitos: Diploma, devidamente registrado, de conclusão de curso de graduação de nível superior em Análise e Desenvolvimento de Sistemas ou Ciência da Computação ou Sistemas de informação ou Engenharia de software, fornecido por instituição de ensino superior reconhecida pelo MEC.
Requisitos: Diploma, devidamente registrado, de conclusão de curso de graduação de nível superior em Arquitetura, fornecido por instituição de ensino superior reconhecida pelo MEC, e registro no órgão de classe.
Requisitos: Diploma, devidamente registrado, de conclusão de curso de graduação de nível superior em Arquivologia, fornecido por instituição de ensino superior reconhecida pelo MEC.
Requisitos: Diploma, devidamente registrado, de conclusão de curso de graduação de nível superior em Biblioteconomia, fornecido por instituição de ensino superior reconhecida pelo MEC e registro no órgão de classe.
Requisitos: Diploma, devidamente registrado, de conclusão de curso de graduação de nível superior em Biologia, fornecido por instituição de ensino superior reconhecida pelo MEC e registro no órgão de classe com pelo menos 2 anos de experiência em estágios em trabalhos de recuperação de áreas degradadas.
Requisitos: Diploma, devidamente registrado, de conclusão de curso de graduação de nível superior em Engenharia Cartográfica, fornecido por instituição de ensino superior reconhecida pelo MEC e registro no órgão de classe.
Requisitos: Diploma, devidamente registrado, de conclusão de curso de graduação de nível superior em Comunicação Organizacional, Comunicação social, jornalismo, rádio e tv, publicidade e propaganda, marketing, marketing digital, tecnologia da informação ou áreas correlatas, fornecido por instituição de ensino superior reconhecida pelo MEC.
Requisitos: Diploma, devidamente registrado, de conclusão de curso de graduação de nível superior em Design Gráfico, Design Digital, Web design, Desenho industrial, editoração, comunicação social, comunicação organizacional, publicidade e propaganda, jornalismo, marketing, marketing digital, tecnologia da informação ou áreas correlatas, fornecido por instituição de ensino superior reconhecida pelo MEC.
Requisitos: Diploma, devidamente registrado, de conclusão de curso de graduação de nível superior em audiovisual, cinema, design, fotografia, comunicação social, comunicação organizacional, publicidade e propaganda, rádio e tv, jornalismo, marketing ou áreas correlatas, fornecido por instituição de ensino superior reconhecida pelo MEC.
Requisitos: Diploma, devidamente registrado, de conclusão de curso de graduação de nível superior em Conservação e Restauração, fornecido por instituição de ensino superior reconhecida pelo MEC.
Requisitos: Diploma, devidamente registrado, de conclusão de curso de graduação de nível superior em Ciências Contábeis, fornecido por instituição de ensino superior reconhecida pelo MEC, e registro no órgão de classe.
Requisitos: Diploma, devidamente registrado, de conclusão de curso de graduação de nível superior em Comunicação Visual, Artes Visuais, Design Gráfico ou de Produto, fornecido por instituição de ensino superior reconhecida pelo MEC.
Requisitos: Diploma, devidamente registrado, de conclusão de curso de graduação de nível superior em Direito, fornecido por instituição de ensino superior reconhecida pelo MEC, e registro no órgão de classe.
Requisitos: Curso de graduação completo (Bacharelado ou Licenciatura) nas áreas de pedagogia ou humanidades (história, ciências sociais, letras, filosofia e psicologia), fornecido por instituição de ensino superior reconhecida pelo MEC, e registro no órgão de classe se for o caso, com conhecimento comprovado de língua inglesa.
Requisitos: Diploma, devidamente registrado, de conclusão de curso de graduação de nível superior em Agronomia, fornecido por instituição de ensino superior reconhecida pelo MEC e registro no órgão de classe com pelo menos 2 anos de experiência em estágios em trabalhos de recuperação de áreas degradadas.
Requisitos: Diploma, devidamente registrado, de conclusão de curso de graduação de nível superior em Engenharia Elétrica, fornecido por instituição de ensino superior reconhecida pelo MEC e registro no órgão de classe.
Requisitos: Diploma, devidamente registrado, de conclusão de curso de graduação de nível superior em Engenharia Eletrônica ou Engenharia Mecatrônica, fornecido por instituição de ensino superior reconhecida pelo MEC e registro no órgão de classe.
Requisitos: Diploma, devidamente registrado, de conclusão de curso de graduação de nível superior em Engenharia Civil, fornecido por instituição de ensino superior reconhecida pelo MEC e registro no órgão de classe.
Requisitos: Diploma, devidamente registrado, de conclusão de curso de graduação de nível superior em FÍSICA OU Engenharia Física, fornecido por instituição de ensino superior reconhecida pelo MEC e registro no órgão de classe e comprovação de experiência em estágios em operação de equipamentos analíticos por no mínimo 2 anos.
Requisitos: Diploma, devidamente registrado, de conclusão de curso de graduação de nível superior em Geografia, fornecido por instituição de ensino superior reconhecida pelo MEC, acrescido de registro no órgão de classe e experiência mínima comprovada de um ano em mapeamento geomorfológico, valendo experiência em estágios.
Requisitos: Diploma, devidamente registrado, de conclusão de curso de graduação de nível superior em área de tecnologia da informação tais como tecnólogos e bacharéis em ciência de dados, fornecido por instituição de ensino superior reconhecida pelo MEC e registro no órgão de classe.
Requisitos: Diploma, devidamente registrado, de conclusão de curso de graduação de nível superior em Letras, linguística ou áreas correlatas, fornecido por instituição de ensino superior reconhecida pelo MEC. Desejável conhecimento de língua inglesa (habilitação em inglês) para revisão de textos técnicos ocasionais nesse idioma.
Requisitos: Diploma, devidamente registrado, de conclusão de curso de graduação de nível superior em Museologia, fornecido por instituição de ensino superior reconhecida pelo MEC e registro no órgão de classe.
Requisitos: Diploma, devidamente registrado, de conclusão de curso de graduação de nível superior em Química, Engenharia Química ou Químico Industrial, fornecido por instituição de ensino superior reconhecida pelo MEC, e registro no órgão de classe.
TÉCNICO EM GEOCIÊNCIAS
Requisitos: Certificado, devidamente registrado, de conclusão de curso de ensino médio.
Requisitos: Certificado, devidamente registrado, de conclusão de nível médio técnico (antigo segundo grau profissionalizante) em Técnico em Mineração ou em Geologia, expedido por instituição de ensino reconhecida pelo órgão competente, e registro no respectivo órgão de classe.
Requisitos: Certificado, devidamente registrado, de conclusão de curso de ensino médio técnico nas áreas de Meio Ambiente, Edificações, Mineração, Geologia, Agrimensura, Topografia, Hidrologia, Agrícola, Saneamento ou certificado de conclusão de nível médio (antigo segundo grau) expedido por instituição de ensino reconhecido pelo órgão competente, acrescido, neste último caso, de experiência mínima em estágios de dois anos em Hidrometria e, para os dois casos, Carteira Nacional de Habilitação do tipo B, C, D ou E.
As inscrições poderão ser feitas somente pela internet, na página eletrônica da banca organizadora,que será a Fundação Getúlio Vargas (FGV).
No primeiro dia, o acesso poderá ser feito a partir das 16 horas, enquanto no último também será possível até às 16 horas.
As taxas serão as seguintes:
O pagamento da taxa poderá ser feito até o dia 3 de setembro.
A aplicação das provas objetivas e discursivas do concurso CPRM está prevista para ocorrer em 30 de novembro, com início às 8 horas e duração de cinco horas.
Para todos os cargos, a prova objetiva contará com 70 questões, da seguinte forma:
As disciplinas específicas de conhecimentos gerais e conhecimentos específicos variam de acordo com o cargo.
Para pesquisador, a prova discursiva contará com uma questão de conhecimentos específicos, com até 30 linhas, valendo até 20 pontos.
Para analistas e técnicos, a prova discursiva contará com uma redação sobre atualidades, com até 30 linhas, valendo até 20 pontos
Para pesquisador e analista, para a classificação final também serão considerados títulos, com limite de 10 pontos.
CPRM
- Companhia de Pesquisa de Recursos Minerais
Vagas: 115
Taxa de inscrição:
De R$ 100,00
Até R$ 180,00
Cargos: Técnico,
Analista,
Pesquisador
Áreas de Atuação: Administrativa
Faixa de salário:
De R$ 4442,68
Até R$ 10557,48
Organizadora: FGV
Estados com Vagas: AM,
BA,
CE,
DF,
GO,
MG,
PA,
PE,
PI,
RJ,
RS,
RO,
SP
Mais de 5 mil cidades no Brasil!
+ Mais Lidas
JC Concursos - Jornal dos Concursos. Imparcial, independente, completo.