Concurso GHC (Grupo Hospitalar Conceição) é para formar cadastro reserva de pessoal, com remunerações iniciais de até R$ 28,9 mil

Foram publicados, no diário oficial da União desta terça-feira, 20 de maio, os editais de abertura de inscrições do concurso GHC (Grupo Hospitalar Conceição), para formar cadastro reserva de pessoal para diversos cargos de niveis médio, técnico e superior, com remunerações iniciais que variam de R$ 3.600 a R$ 28.903,60. O certame já contava com contrato assinado com a banca organizadora desde 16 de abril. As inscrições serão recebidas a partir desta terça-feira, 20 de maio, com prazo até 17 de junho.
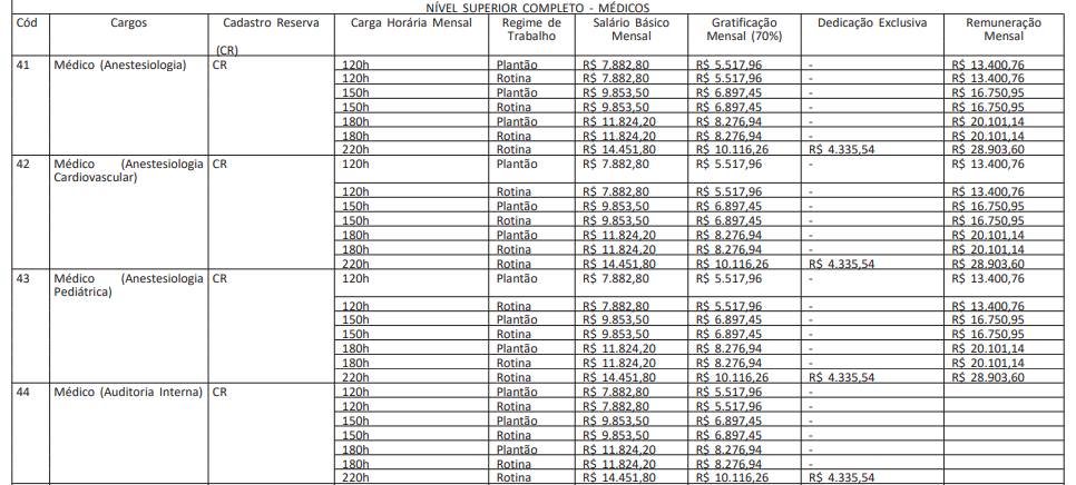
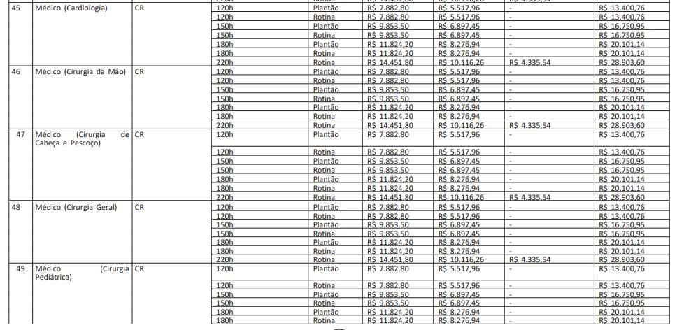
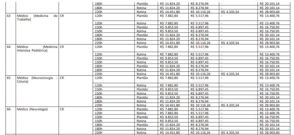
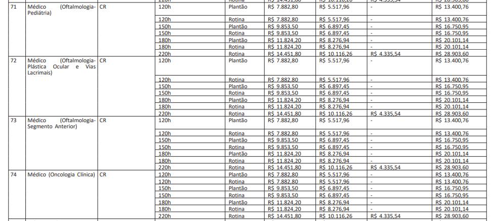
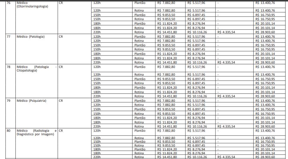
No edital 1 do concurso GHC, os cargos oferecidos são os seguintes, com respectivas remunerações:


LEIA TAMBÉM











No edital 2 do concurso, os cargos oferecidos são os seguintes:






As inscrições poderão ser feitas somente pela internet, na página eletrônica da banca organizadora, que será a Fundatec.
As taxas serão as seguintes:
No último dia de inscrições, o acesso será permitido até às 17 horas.
O pagamento da taxa poderá ser feito até 18 de junho
A aplicação das provas teórico práticas do concurso GHC está marcada para o dia 13 de julho, com duração de 3 horas para médicos e 3h30 para os demais cargos. A aplicação das provas será na cidade de Porto Alegre.
Para ensino médio serão 50 questões, da seguinte forma:
Para nível técnico:
Para nível superior, exceto médicos:
Para médicos:
Para a classificação final também serão considerados títulos, para os cargos de nível superior, com limite de 7 pontos.
GHC
- Grupo Hospitalar Conceição
Vagas: Não definido
Taxa de inscrição:
De R$ 79,00
Até R$ 144,00
Cargos: Médico,
Farmacêutico,
Engenheiro
Áreas de Atuação: Administrativa,
Saúde
Faixa de salário:
De R$ 3600,00
Até R$ 28903,00
Organizadora: Fundatec
Estados com Vagas: RS
Mais de 5 mil cidades no Brasil!
+ Mais Lidas
JC Concursos - Jornal dos Concursos. Imparcial, independente, completo.